贸易与旅游管理学院关于2022级学生转专业申请审核结果的公示
各班级:
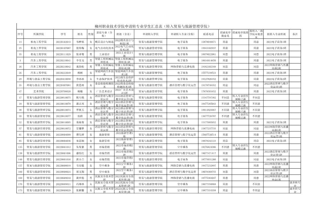
根据《柳州职业技术学院学生学籍管理规定(修订稿)》(柳职院教字(2021)21号)、《柳州职业技术学院2022级学生转专业实施方案》(柳职院教字(2022)31号)有关规定,经学生个人申请,学校相关部门审核,现对转入贸易与旅游管理学院的转专业审核结果进行公示,具体名单见附件。公示时间为2022年9月27日-2022年9月29日。
如对公示结果有异议,请于2022年9月29日前以书面形式实名反馈情况,送至社湾校区崇文楼505,联系人:夏佩,联系电话:3156327。
贸易与旅游管理学院
二〇二二年九月二十七日

终审:贸易与旅游管理学院
分享到:

用户登录